Abstract
Background: The paraoxonase gene family (PON1, PON2 and PON3) is located on chromosome 7. Their proteins prevent oxidative stress and show anti-inflammatory properties, being related to a wide variety of human illnesses. Oxidative stress is related to malignant transformation in some tumors, and PON Single Nucleotide Polymorphisms have been associated with increased risk of some types of cancers.
Purpose: To investigate the genotypic and allelic frequency of polymorphisms of PON1 (192QR and 55LM) and PON2 (148AG and 311SC) genes in patients with DLBCL in a Brazilian population, and to analyze the correlations of these polymorphisms with clinical outcomes.
Methods: Subjects were HIV negative patients diagnosed with DLBCL CD20+ between February 2009 and April 2011. Patients (78) were from the Instituto do Cancer do Estado de Sao Paulo. They were followed for survival and disease progression (cut-off date: April 2017). All histopathology slides and blocks were reviewed by a trained pathologist. The DNA was extracted from peripheral blood leukocytes by salting-out extraction method. PON1 and PON2 polymorphisms were detected by PCR/RFLP. Overall Survival (OS) and Progression Free Survival (PFS) were estimated using Kaplan-Meier analysis, and the log-rank test was used to assess differences between the curves. Univariate Cox regression analysis was used to assess the association between clinical characteristics and the survival endpoints. Univariate logistic regression was used to examine the association between covariates and complete response.
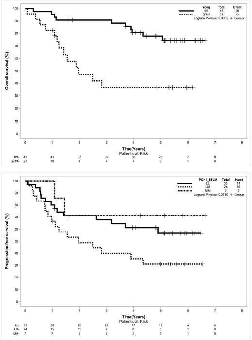
Results: Complete information was available for 67 patients. Median age at diagnosis: 40 years (20-65). 64.1% patients had Performance Status PS 0-1 at diagnosis; 53.7% were female; 64.1% had low-intermediate risk International Prognostic Index (IPI); 43.2% had Bulky Lesion. All patients received rituximab-based chemotherapy. Frequency of the polymorphisms: PON1 192 (QR/RR: 47%, QQ: 53%), PON1 55 (LM: 35.8%, MM: 10.4%, LL: 52.2%), PON2 148 (AG: 46.2%, GG: 5.9%, AA: 46.2%), PON2 311 (SC: 35.8%, CC: 7.4%, SS: 52.2%). Twenty-three patients (34.3%) died after 5 years of follow-up, with OS 5 years: 65.1% (95% CI 51.9-75.5). PFS in 5 years: 51.8%. At Univariate Cox Regression, PS 2-4 compared to PS 0-1 at diagnosis was associated with increased risk of death (HR: 3.96, 95% CI: 1.71-9.13, p=0.001). Regarding the polymorphisms, PON1 55 LM was associated with increased risk of disease progression (HR: 2.01, 95% CI: 0.98-4.11, p=0.05) when compared to LL. No correlation was observed between the studied polymorphisms and clinical outcomes.
Conclusions: PON1 55LM was associated with an increased risk of disease progression. Nevertheless, the clinical significance of this finding deserves further investigation.
No relevant conflicts of interest to declare.
Author notes
Asterisk with author names denotes non-ASH members.
